Der Einsatz von Mikrofonen zur Verstärkung eines Blasorchesters oder auch einer Big-Band ist abhängig vom Zweck: soll das Orchester insgesamt verstärkt werden, damit ein guter Klang auch über weitere Distanzen übertragen werden kann oder sollen Mikrofone eingesetzt werden um damit ein Monitorsignal zu erzeugen, so dass sich die Musiker über entsprechende Monitorlautsprecher selber besser hören können? Oder soll die Abnahme der Signale des Orchesters für eine Aufnahme genutzt werden?

Eine wenig aufwändige Form der Mikrofonabnahme eines Orchesters ist die Stereomikrofonierung. Gerade wenn der Einsatz von Mikrofonen einer Aufnahme dient, ist die Stereomikrofonierung eine bewährte Möglichkeit mit überschaubarem technischem Aufwand qualitativ ansprechende Aufnahmen zu machen.
Selbstverständlich ist diese Form der Mikrofonierung auch sehr geeignet den Live Sound eines Orchesters für das Publikum zu verstärken. Grundsätzlich lassen sich zwei unterschiedliche Ansätze der Stereomikrofonie darstellen. Ein dritter Ansatz stellt eine Mischform dar.
1. Intensity Stereophony
Anordnung der Mikrofone bei dem XY-Verfahren
Ein leicht zu realisierendes Verfahren stellt die XY-Technik dar: Die Mikrofonkapseln befinden sich auf einer Ebene, gleichweit vom Schallereignis entfernt. Montiert werden die Mikros übereinander in einem Winkel von 90° zueinander – eine sogenannte „Stereoschiene“ leistet dabei gute Dienste. Allerdings ist der Aufstellwinkel zwischen 45° und 180° variabel und so an die Breite der aufzunehmenden Schallquelle anzupassen.
Verwendet werden üblicherweise gerichtete Kleinmembran Kondensatormikrofone mit der Richtcharakteristik Niere, Superniere oder Acht. Die räumliche Auflösung wird durch die unterschiedliche Intensität der eintreffenden Signale erzielt.
Eine weitere Variante der Intensitätsstereofonie stellt das sogenannte Mitte-Seite (MS) Verfahren dar: Ein Mikrofon mit der Richtcharakteristik Niere oder Kugel wir als Mikrophon für die „Mitte“ verwendet und ist auf den Klangkörper gerichtet. 90° gedreht dazu wird auf der gleichen Entfernungsebene ein Mikrofon mit der Richtcharakteristik „Acht“ montiert. In diesem Fall ist allerdings neben dem „Achter“-Mikrofon auch noch ein Richtungsmische (das kann auch mit dem Mischpult geschehen) für die Bearbeitung der Signale erforderlich. Vorteil des MS Verfahrens ist eine höhere Monokompatibilität und die Möglichkeit der nachträglichen Bearbeitung der Stereobasis.
Die Intensitätsstereofonie lässt bei der richtigen Winkeleinstellung eine sehr gute Ortung bei meist betonter Mittenortung zu, zeigt aber nur wenig ausgeprägte räumliche Tiefe. Das Klangbild dieser Aufnahme lässt sich als „sauber“ und „hell“ bzw. „brillant“ bezeichnen.

2. Laufzeitstereofonie
Anordnung der Mikrofone beim A/B-Verfahren
Vom technischen Aufwand ähnlich aufwändig wie das XY-Verfahren ist das sogenannte A/B-Stereoaufnahmeverfahren. Bei einem Einsatz weiterer Stützmikrofone wird dieses Verfahren dann als „Polymikrofonie“ bezeichnet. Dieses Verfahren ist nicht Monokompatibel. Für das A/B Verfahren werden vorzugsweise zwei Kleinmembran Kondensatormikrofone verwendet.
Sehr gute Ergebnisse lassen sich mit der Richtcharakteristik Kugel erzielen, allerdings ist auch die Verwendung von gerichteten Mikros mit Nierencharakteristik möglich, wenn rückseitiger Schall ausgeblendet werden soll. Die Mikrofone werden parallel in einem Abstand von 40 – 80 cm zur Schallquelle ausgerichtet (Klein A/B) oder bei einem breiteren aufzunehmenden Bereich auch in einem Abstand bis zu mehreren Metern (Groß A/B).
Die Mikrofone sollen so aufgestellt werden, dass keine Pegelunterschiede auftreten. Die räumliche Auflösung geschieht durch die unterschiedlichen Laufzeiten des Schallsignals von der Quelle zu den verschiedenen Mikrofonen. Durch die Anwendung dieses Verfahrens lässt eine sehr gute räumliche Tiefenstaffelung erreichen, allerdings ist die Ortungsschärfe schlechter als bei dem XY-Verfahren und stark durch linkes und rechtes Panorama geprägt. Das Klangbild erscheint im Vergleich zum XY-Verfahren voluminös.

3. ORTF
Anordnung der Mikrofone beim ORTF-Verfahren
Eine Mischform der vorgenannten Aufnahmeverfahren stellt mit kleiner Laufzeit und Intensitätsdifferenz das sogenannte ORTF (Office de Radiodiffusion Télévision Française) Verfahren dar. Standardmäßig werden auf einer Stereoschiene zwei gerichtete Kleinmembran Kondensatormikrofone mit einem Kapselabstand von 17 cm montiert. Anders als beim XY-Verfahren zeigen die Kapseln jedoch mit einem Öffnungswinkel von 110° nach außen. Der Öffnungswinkel ist jedoch abhängig vom Abstand der Mikrofone (5 cm – 30 cm) zwischen 0° und 180° variabel wählbar. Vorteil dieser Anordnung ist eine ausgewogene Räumlichkeit der Aufnahme bei gleichzeitig guter Lokalisierung.
Vorteile der Stereo-Mikrofonierung sind:
Nachteile der Stereo-Mikrofonierung sind:
Der größte Nachteil der Stereomikrofonierung ist die fehlende Möglichkeit einzelne Instrumente, Stimmen oder ganze Register individuell und differenziert aufzunehmen, gegebenenfalls zu bearbeiten und wiederzugeben. Hierfür ist eine Einzelmikrofonierung erforderlich: das einzelne Instrument, aber auch Stimmgruppen oder ganze Register werden individuell mit einem oder mehreren Mikrofonen abgenommen. Auf diese Weise lässt sich gezielt Einfluss ausüben auf Lautstärke und Klang einzelner Teile des Orchesters. Auch die Erstellung eines individuellen Monitormixes ist auf diese Weise möglich.
Das könnte man denken, wenn nicht die Physik wieder ihre schlimmen Finger im Spiel hätte. Leider sind die Mikrofone, die es für Geld zu kaufen gibt nicht dazu in der Lage innerhalb eines Orchesters einzelne Signale, also die Töne eines Instruments oder einer Instrumentengruppe isoliert aufzunehmen.
Je nach Richtcharakteristik gibt es einen weniger oder stärker ausgeprägten Übersprechungseffekt (Bleeding). Ein Mikrofon, das sich z B. vor dem 1. Tenor Saxofon befindet wird auch den Ton des zwei Stühle weiter rechts sitzenden 1. Altsaxophons und des zwei Stühle weiter links sitzenden 2. Tenorsaxophons aufnehme. Natürlich sind die Signale der benachbarten Saxofone schwächer aber auch zeitverzögert zum Hauptsignal.
Der Kammfiltereffekt wurde bei der Mono- und Stereomikrofonierung bereits erwähnt. Dieser Effekt tritt auf, wenn mehr als ein Mikrofon verwendet wird und hängt mit dem Übersprechen der Signale auf die Mikrofone zusammen. Abhängig vom Unterschied der Entfernung der Mikrofone kann es zu einer Verschiebung der Phasenlage bestimmter Frequenzen kommen. Liegt die Phasenverschiebung im Extremfall bei einer halben Wellenlänge kommt es zur Auslöschung des Signals, Subtraktion. Bei gleicher Phasenlage kommt es wiederum zu einer Addition der Amplitude.

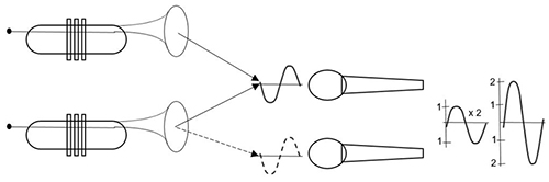
Beispiel 1: Addition
Die Mikrofone befinden sich zwischen den Trompeten, die Distanz zum Mikrofon ist jeweils gleich. Die Phasenlage der Frequenzen des Signals ist gleich, die Amplitude verdoppelt sich.

Beispiel 2: Subtraktion
Subtraktion
Zwei Trompeten haben jeweils ein eigenes Mikrofon. Aufgrund des Übersprechens kommt auch das Signal der jeweils anderen Trompete zeitverzögert in jeweilige eigene Mikrofon. Durch die Zeitverzögerung verschiebt sich die Phasenlage bestimmter Frequenzen. Beträgt die Phasenverschiebung eine halbe Wellenlänge kommt es zu Auslöschungen dieser Frequenzen.
Kammfiltereffekt bei linearer Teilung der Frequenzachse.
Die gleiche Situation ergibt sich auch bei einer Phasenverschiebung um die 1,5-fache, 2,5-fache, 3,5-fache, etc. der Wellenlänge, so dass es auch bei Signalen mit der 3-, 5-, 7- … fachen Wellenlänge zu Auslöschungen kommt. Im Frequenzgang zeigt sich dieser Effekt als regelmäßige Wiederholung von Überhöhung von Frequenzen mit gleicher Phasenlage und Kerben bei den Frequenzen mit Auslöschungen. Dieses Phänomen wird als Kammfiltereffekt bezeichnet.
Der Kammfiltereffekt kann sich beim Zuhörer bzw. im Mix durch sogenannte „Phasing“-Effekte zeigen. Veränderungen der Klangfarbe aber auch in undifferenzierter Darstellung von Klängen, keine tonale Präsenz etc.. Vom Publikum wird der Sound oftmals als „matschig“ oder auch als „Lärm“ empfunden.
Abhilfe schafft zunächst das richtige Mikrophon am richtigen Platz. Stark gerichtete Mikrophone, die wenig empfindlich auf Übersprechen reagieren, können bei möglichst geringem Abstand zur Signalquelle bereits Abhilfe schaffen. Denn je größer das Verhältnis von Abstand der Mikrofone zueinander im Verhältnis zum Abstand zum jeweiligen Instrument ist, desto geringer ist das Übersprechen und damit der Kammfiltereffekt.

Eine Faustformel besagt, dass der Abstand zwischen zwei oder mehr Mikrofonen mindestens dreimal so groß sein sollte wie der Abstand zur Signalquelle: In der nächsten Ausgabe dieses Workshops werde ich auf die Auswahl geeigneter Mikrophone für die Einzelmikrofonierung und Möglichkeiten der Platzierung und Ausrichtung auf die jeweiligen Instrumente eingehen.
Bis dahin, Euer Big Jay.